自闭症是一种神经发育障碍,其主要特征为社交缺陷和重复刻板的行为。当前,孤独症的神经生物学和病因学尚不明确。现在普遍认为自闭症与遗传、神经、代谢和免疫因素相关。
有研究提出自闭症患者存在氧化应激和抗氧化防御能力的失衡。自闭症患者表现出抗氧化系统受损,使自闭症患者处于氧化应激状态,这导致其产生异常行为以及免疫指标发生异常。氧化应激可以通过呼吸链对线粒体产生负面的影响,因此氧化应激被认为是治疗自闭症的新靶点。
对比研究
2022年,国际期刊《Biomarker Insights》(生物标志物研究)上发表了一篇针对自闭症患儿、以及健康患儿氧化标志物的研究,为通过抗氧化应激改善自闭症患儿症状,提供了依据。
该研究以13岁以下儿童为研究对象,对比了自闭症患儿、患儿的兄弟姐妹、以及同龄健康儿童,在氧化应激标志物方面的差异。

如上表所示,记录了参与本次研究的自闭症患儿的基本情况。共有30名患儿参与了研究,其中5岁以下患儿10名,5岁以上患儿20名;大部分患儿病程超过3年,同时无其他慢性疾病。
患儿家庭情况也无异常,大部分患儿都在母亲30岁左右出生,母亲也没有吸烟、饮酒等不良生活习惯,家族中也没有遗传精神病史。
研究人员对比了自闭症患儿、以及他们的兄弟姐妹,和普通健康儿童血液中丙二醛(MDA,MDA是氧化应激过程中产生的一种有害物质,因此被广泛用于衡量氧化应激的程度)、高级氧化蛋白产物(AOPP,它导致细胞内促炎细胞因子水平异常,使患儿出现自闭症谱系障碍,研究表明,其水平越高,患儿症状越严重)、谷胱甘肽(GSH,它是人体天然抗氧化剂,保护细胞免受自由基的损害)。

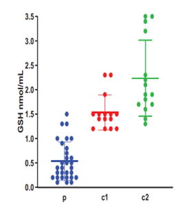
如上图所示,P代表自闭症患儿,C1代表自闭症患儿的兄弟姐妹,C2代表健康儿童。可以看出,自闭症患儿及其兄弟姐妹中,MDA和AOPP的含量显著高于健康儿童,特别是AOPP,是健康儿童的数十倍。

如上图所示,在GSH水平上,自闭症患儿和其兄弟姐妹,显著低于健康儿童(约为健康儿童的20%-60%),说明自闭症患儿更易受到氧化应激损害。
谷胱甘肽本身就是一种神经递质,谷胱甘肽水平降低、或氧化状态都会对中枢神经系统的活动产生负面影响,导致许多神经退行性疾病,也包括自闭症。在使用抗氧化剂(如维生素C、肌肽)进行的双盲、安慰剂试验中,发现显著改善了患儿的自闭症行为。综上,可以认为抗氧化应激是治疗自闭症的一个新靶点。
氢气在抗氧化方面的优势
氢气具有选择性抗氧化性,它只针对有毒性的自由基发挥作用;而维生素C、维生素E对所有的自由基都会产生作用。另外,氢气能够非常容易的通过细胞膜,通过血脑屏障,到达细胞内部;而维生素C只能在含水部分、维生素E只能在含有脂肪的部分发挥作用。
国内外多项临床试验,已经证明通过吸入氢气治疗,能够降低氧化应激水平,提高抗氧化能力。例如海军军医大学一项氢气吸入对慢性肾脏病患者肾功能、及生活质量的影响的研究中,发现吸入氢气治疗后,患者体内抗氧化剂超氧化物歧化酶(SOD)、谷胱甘肽过氧化物酶(GSH-PX)水平提高;而氧化应激标志物肿瘤坏死因子-α(TNF-α)、白介素-6(IL-6)、以及8-羟基脱氧鸟苷(8-OHDG)明显下降。
我国一项针对自闭症患儿进行的临床试验,也验证改善氧化应激状态和提高治愈率之间的关系。在治疗3个月及6个月后,观察组患儿的血清GSH及SOD水平,显著高于对照组;同时,观察组血清中一氧化氮(NO)显著低于对照组,说明抗氧化应激治疗提高了体内抗氧化剂水平,降低了氧化应激造成的影响。与之对应,在治疗的总有效率上,观察组6个月总有效率为82.50%,显著高于对照组的57.50%。
目前,上海市东方医院发起了一项由学者主导的“氢气吸入干预儿童自闭症改善症状的多中心、非随机、开放式平行对照临床研究”,该项目得到上海市东方医院医学伦理委员会审评同意,并经过中国临床试验注册中心审核通过。

参与试验的患儿接受吸氢治疗
参与该试验的患儿家长表示,在治疗过程中孩子无任何不适,且配合程度高,在睡眠、饮食、安坐等方面改善显著,疗效值得肯定。目前,该项临床试验正在进行中。未来,氢气干预有望成为自闭症康复治疗的一种新手段。
更多相关问题讨论,可以添加作者微信(jinbozhihui1)交流。
参考资料
Nasrallah O, Alzeer S. Measuring Some Oxidative Stress Biomarkers in Autistic Syrian Children and Their Siblings: A Case-Control Study[J]. Biomarker Insights, 2022, 17: 11772719221123913.
林新平, 陈卓, 穆红香,等. 益生菌在自闭症中的疗效及对氧化应激状态的影响观察[J]. 中国卫生标准管理, 2022, 13(17):5.
程冰封. 氢气吸入对慢性肾脏病患者肾功能及生活质量的影响研究[D].
《孙学军:氢气抗氧化和维生素C抗氧化的区别》
《济南医院:“氢气吸入”,自闭症儿童的新选择》























